
- Home
- /
- राज्य
- /
- उत्तर प्रदेश
- /
- नोएडा
- /
- गजब का खेल: ग्रेटर...
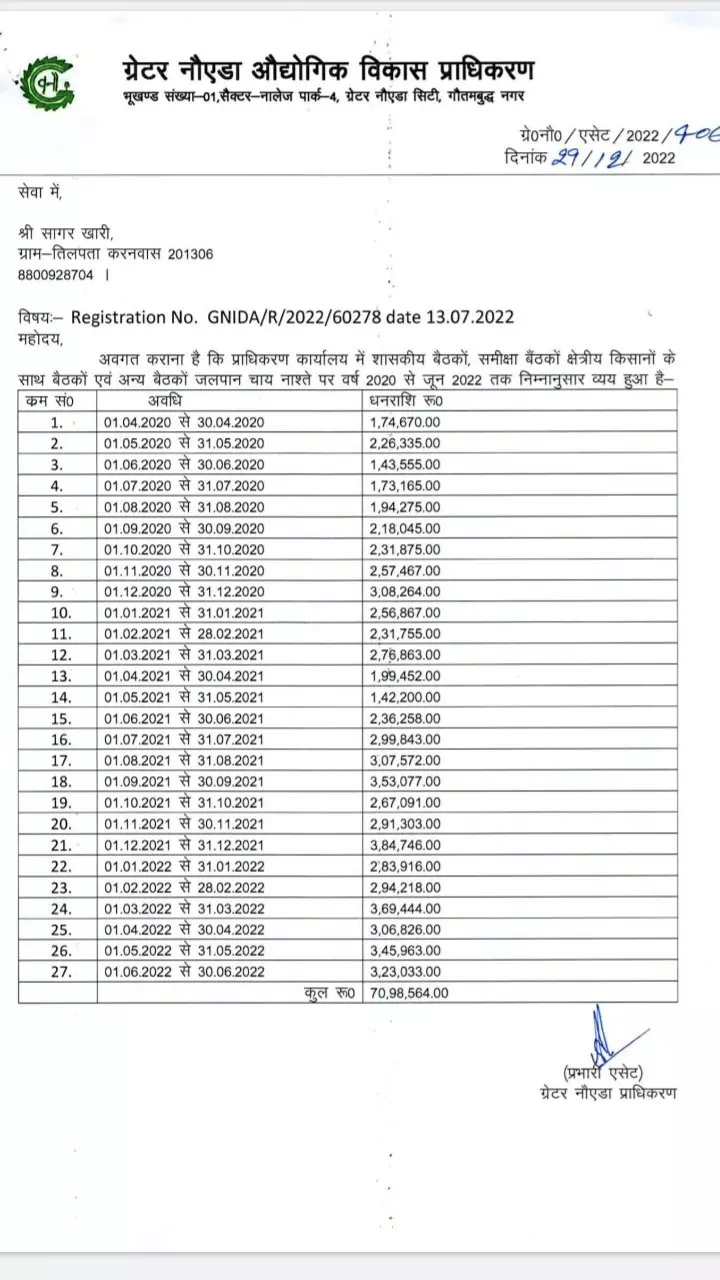
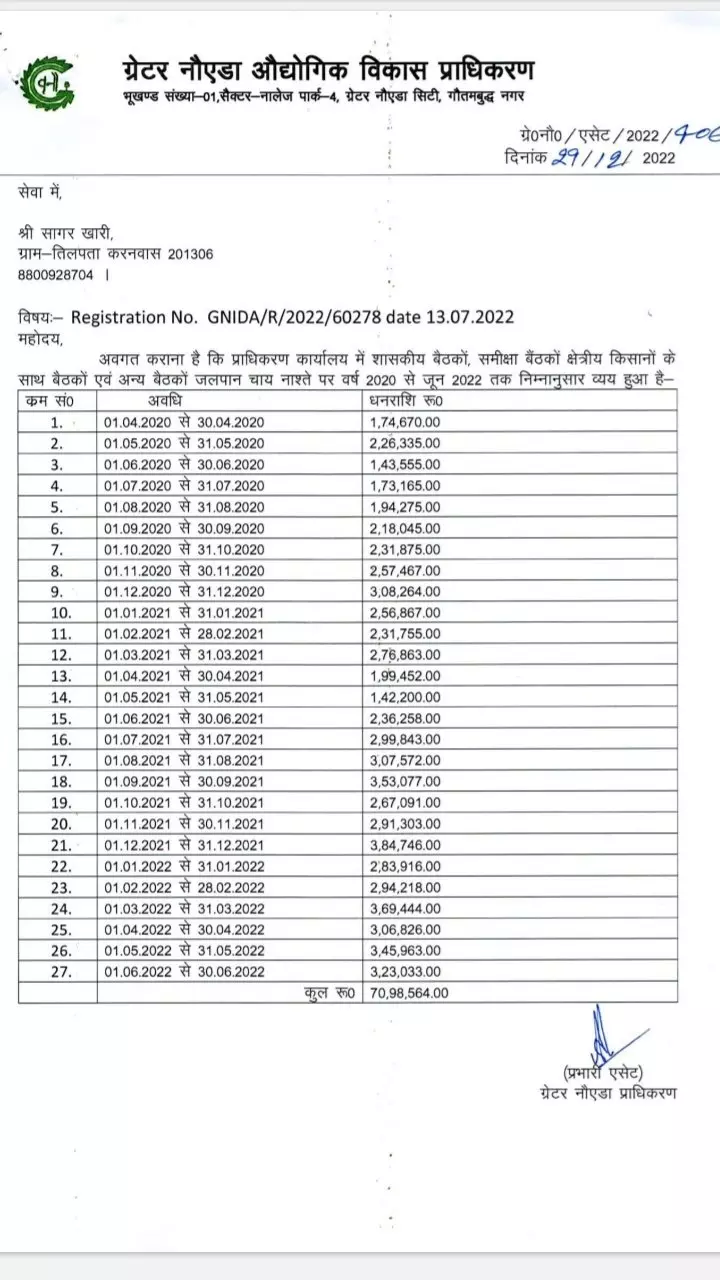
गजब का खेल: ग्रेटर नोएडा प्राधिकरण 2 साल में 71 लाख की चाय पिला दी लोगो को, RTI में दिया जबाब

ग्रेटर नोएडा विकास प्राधिकरण ने सन 2020 से लेकर 2022 तक यानी 2 साल में 71 लाख की चाय लोगो को पिला दी। यह सुनकर आप हैरान रह गए होंगे। यानि 24 माह में 71 लाख एवरेजन एक माह में लगभग तीन लाख माह का आएगा। यानी प्रत्येक महीना तीस हजार चाय बनेगी हालांकि आर टी आई में यह डिटेल अलग अलग महीना है।
नोएडा के तिपलता करनवास गाँव के निवासी आरटीआई एक्टिविस्ट सागर खारी ने सवाल पूछा था, उसके सवाल के जबाब में ग्रेटर नोएडा प्राधिकरण ने जबाब देते हुए कहा कि हमने इस बीच 71 लाख की चाय पी है। अब बड़ी हैरान करने वाली बात यह है कि किसी भी हालत में ऑफिस महीने में 20 से 22 दिन से ज्यादा नहीं खुलता है। इस दौरान प्रत्येक दिन 1500 हजार चाय पीने वाले लोग आए। क्या सीसीटीवी फुटेज के माध्यम से यह हैरान करने वाली तस्वीरें सामने आएंगी कि पूरे दिन यह भीड़ बनी रही।
देखिए जबाब
आप देखकर हैरान न हो। इस तरह की खबरें हम आपके पास लगातार पहुंचाने का प्रयास करते है ताकि आप लोग जागरूक बने रहें वैसे तो बहुत लोग है जो आपको खबरों से गुमराह करते है।
अरुण चंद्रा




